【院試解答】東大院工学系研究科電気系工学専攻 2021年 問題3
免責
この解答・解説は当ブログ管理人のものであり、間違っている可能性もあります。
この記事の記載内容によって生じた損失や損害については、当ブログ管理人は一切責任を負いません。
が、間違っている箇所や、よりよい解法があれば後から見に来た人のためにもコメント欄に残していってもらえると、幸いです。
あと、解説でこれが解ければ院試は受かる、的なことを言っていますが、一回しか院試を受けたことがない管理人の所感なので真剣にはあてになさらず。
でももちろん、管理人が実際にそう感じたことを書いています。
問題
解答
I
(1) 難易度:普通
(2) 難易度:普通

解き方は次のよう。

これを拡大係数行列にして解く。

ちなみにここで、各行の一列だけにマイナスがついていることを確認しておくこと。これは簡単なチェックであるが、しなかったせいで永遠に答えが出なかった筆者の反省である。上三角行列を作っていくが、変数が3つの方程式なので、一つ式が余っても良いことに注意しておく。まず、足し引きせずに、

が作れる。①+②をすれば1列目が0になって、少ない計算で上三角行列の3行目が簡単に作れそうだなと考えるが、①+②は4列目も0となる。それはつまり(次元の面で)③’の再生産でありその方向性では3行目は作れない。(実際③’=-5×(①+②)である。)
よくよく考えてみると、マルコフ遷移だから、①~③の変形前の連立方程式の左辺の係数は縦に全部足すと全部1になる。よって(右辺も自明に係数1だから)、①~③を縦に足すと全部0になる。つまり、①、②、③から2つをとって足すと必ずもう一つが出てくるのである。逆に言えば、①~③同士の計算をする場合は一方か両方に係数をつけて(掛け算をして)足せばよいということだ。もっとも、それで計算が簡単になるとは限らないが。
この後は、次のように求まる。

とまあ、ここではきちんと順を追って書いたが、紙の上だと適当で、字が汚い筆者はそれで計算ミスをしたりする。院試では時間はたっぷりあるから、計算ミスで時間を取られるよりかは一個一個順を追ったほうがいいのかなあと思ったり思わなかったり。
ところで、一番最初の拡大係数行列で「一列だけマイナスになっていることを確認する」というチェックの方法を述べたが、ほかにもチェックの方法はある。一つは、先ほど述べたように①~③を縦に合計すると0になることを確認すること。もう一つは、①~③の前の方程式は、状態遷移図上でそれぞれs0~s3の状態から出ていく確率と入ってくる確率が釣り合った式とも解釈できるため、状態遷移図と照らし合わせて符号と係数もろとも確認するという方法である。
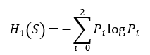
(3) 難易度:普通

なお、ここで次で定義されるのは一次エントロピーである。

これは無記憶情報源と見たときのエントロピーと同じである。マルコフ情報源は記憶があるから、エントロピーがこれよりも小さくなる。
(4-i) 難易度:普通

面倒くさかったから全て分数&分母を550で統一して書いた。(本番は少数や約分したものを書いた方がいいのだろうか。)
(4-ii) 難易度:普通
1情報源記号あたりの平均符号長で測る。 これが(3)のエントロピーに近いほど符号化効率が良い。
情報源記号というのはs0,s1,s2という情報源自体が出す記号のこと。
Ⅱ
(1) 難易度:普通
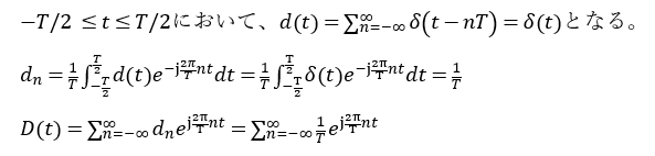
(2) 難易度:難しめ
![]()
ここで言っている「定義」というのは一般的なディラックのデルタ関数の定義である。ネットでは、この一般的な「定義」からフーリエ変換を導く例はあったが、問題で与えられているδ(t)の定義から導く例は見つからなかった。問題で与えられているδ(t)の定義から一般的な「定義」の方を導くのはできないと思うので、与えられているδ(t)関係なしに解くべきと判断した。なお、これ以降の回答もこの一般的な定義を使っている。
が、ここまで真面目に解かなくても、単に1とだけ書けばよい問題だったのかも。
(3) 難易度:普通

(4-i) 難易度:普通

(4-ii) 難易度:難しめ

(4)は2017年の問題B(2)と全く同じである。そちらではフーリエ変換表が与えられているため、1のフーリエ変換を断りなしに導入できる。しかしこちらはそもそもデルタ関数の定義しか与えられていないので、1のフーリエ変換がデルタ関数としていいのかは若干不安。 ほかの方法としてはデルタ関数の積分表示を使うと、フーリエ変換を介さずに答えを出せる。が、どちらにせよ問題文にないものを導入しなければならない。
(5-i) 難易度:難しめ

これもやはり図の方が分かりやすいだろうがPCで図を描く気力がなかったので使わなかった。要はこのΣのn=0の場合だけ取り出すにはどうすればよいか、ということである。
(5-ii) 難易度:普通
(5-i)で言及したように、x(t)の帯域がサンプリング周波数の1/2未満である必要がある。(5-i)が解けなくても、サンプリング定理を説明すればよい。以下ではなく未満とするのが正しそう。