どんぐりの世界に答えを出すブログ

世の中の全ての問題に答えを出すブログ。学校では答えを教えてくれない日常や実際、人生上の問題に「答え」を出していきます。あなたが疑問に思う問題も募集中。

2023-09-03から1日間の記事一覧

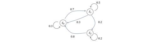
【院試解答】東大院工学系研究科電気系工学専攻 2020年 問題3

免責 この解答・解説は当ブログ管理人のものであり、間違っている可能性もあります。 この記事の記載内容によって生じた損失や損害については、当ブログ管理人は一切責任を負いません。 が、間違っている箇所や、よりよい解法があれば後から見に来た人のため…